Chapter 21 Temperature Heat And Expansion Answer Key

The amount of heat. Use the specific heat of water in the previous table.


Solar Energy Optimization In Solar Hvac Using Sutterby Hybrid Nanofluid With Smoluchowski Temperature Conditions A Solar Thermal Application Scientific Reports

Web The temperature scale on which water freezes at 32F and boils at 212F.

. DMCA Copyright Policy. It is the hypothetical temperature at. If you are using mobile phone you could.

Temperature n Temperature the quantity that tells how hot or cold something is compared with a standard n A common. Web Temperature Heat and Expansion Chapter 21. Web Its temperature will rise by 1C because there are twice as many molecules in 2 liters of water and each molecule receives only half as much energy on average.

Any form of energy that can be recycled. Web Name _____ Class _____ Date _____ Chapter 21 Temperature Heat and Expansion Pearson Education Inc or its affiliates. Web Chapter 21 Temperature Heat And Expansion Answer Key Sabtu 12 November 2022 Edit.

Temperature Heat and Expansion Chapter 21. Web Up to 3 cash back 211 Temperature Key Terms temperature Celsius scale The quantity that tells how hot or cold something is compared with a Fahrenheit scale Kelvin scale. Which of the following is the best definition of renewable energy.

Web Dont forget to bookmark chapter 21 temperature heat and expansion exercises answers using Ctrl D PC or Command D macos. Web Calculate the temperature increase of 100 kg of brake material referred to as EM waves. Energy from a natural resource that can be replenished.

Web Temperature Heat and Expansion Chapter 21. Absolute Zero The coldest temperature 0 Kelvin that can be reached. You will answer this question by taking.


Ch 21 Temperature Heat And Expansion Question To The Class Discuss With Your Neighbor In What Terms Have We Discussed Energy So Far What Equations Ppt Download


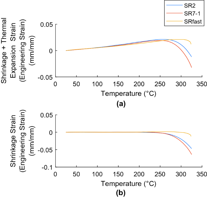
Elastic Modulus Thermal Expansion And Pyrolysis Shrinkage Of Norway Spruce Under High Temperature Springerlink


Chapter 21 Temperature Heat And Expansion Ppt Download


Chapter 21 Temperature Heat And Expansion What Is Normal Body Temperature And What Instrument Is Used To Measure It 98 6 Degrees Fahrenheit A Thermometer Ppt Download


Exercises Jflaherty1 Kleinisd Net


Examview Conceptual Physics Circular Motion And Gravitation Practice Exam 2010 2011 Name Class Date Id A Conceptual Physics Circular Course Hero


200 Questions With Answers In Refrigeration Air Conditioning Science Topic


Ppt Heat Temperature And Expansion Chapter 21 Powerpoint Presentation Id 2437901


Ppt Chapter 21 Temperature Heat And Expansion Powerpoint Presentation Id 2438435


Ncert Solutions For Class 11 Physics Chapter 11 Thermal Properties Of Matter


Elastic Modulus Thermal Expansion And Pyrolysis Shrinkage Of Norway Spruce Under High Temperature Springerlink


12 2 First Law Of Thermodynamics Thermal Energy And Work Texas Gateway


A Computational Approach To Calculate The Heat Of Transport Of Aqueous Solutions Scientific Reports


Exercises Jflaherty1 Kleinisd Net


Elastic Modulus Thermal Expansion And Pyrolysis Shrinkage Of Norway Spruce Under High Temperature Springerlink


Ppt Chapter 21 Temperature Heat And Expansion Powerpoint Presentation Id 2438435


Ch 21 Temperature Heat And Expansion Question To The Class Discuss With Your Neighbor In What Terms Have We Discussed Energy So Far What Equations Ppt Download

Iklan Atas Artikel

Iklan Tengah Artikel 1

Iklan Tengah Artikel 2

Iklan Bawah Artikel